Como calcular combinação no Excel – Função Combin
Neste artigo você aprenderá como calcular combinação no Excel utilizando a função Combin.
“Combinação simples é um tipo de agrupamento no estudo sobre análise combinatória. Os agrupamentos formados com os elementos de um conjunto serão considerados combinações simples se os elementos dos agrupamentos diferenciarem apenas pela sua natureza.” Fonte: Mundo Educação
Para entender melhor o cálculo de combinação e como ele pode ser útil. Veja a solução deste pequeno exemplo.
Temos 4 pessoas, quantos grupos de 2 pessoas diferentes nós podemos formar com estes 4 indivíduos?
Para esta solução, pense que como são 4 pessoas diferentes, elas não podem se repetir, e outra, ela não depende da sequência, o indivíduo pode estar na primeira ou na segunda posição do grupo criado que não irá interferir.
Estas são as características do cálculo de combinação matemática.
Veja agora como resolveríamos na mão, para descobrir estes grupos:

Distribuição em grupos:

Vemos portanto que é possível criarmos 6 grupos diferentes á partir destas 4 pessoas. Agora, como calculamos isto com fórmulas?
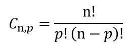
Usamos para este cálculo matemático a função de Combinação, descrita pela fórmula:

Aonde temos:
- C: representa a fórmula de combinação
- n: quantidade de elementos de um conjunto
- p: número natural, menor ou igual a n, que representa a quantidade de elementos que irão formar os agrupamentos.
Veja o exemplo resolvido:

Perceba que o símbolo ! é o fatorial, que representa que o número deve ser multiplicado pelos seus números naturais antecedentes até o 1.
Este cálculo já é o suficiente para resolver as questões de combinação.
Mas no Excel nós temos uma função que resolve este problema de forma rápida, é a função Combin.
Função Combin Excel
Usando a função Combin para a solução do mesmo problema anterior temos:
=COMBIN(4,2)
Aonde:
- Combin: Retorna o número de combinações para um determinado número de itens
- Núm: É o n da fórmula original. O número de elementos do conjunto, no caso 4.
- Núm_escolhido: Quantidade de itens que haverão nos sub-conjuntos, neste problema 2.
O resultado para a fórmula também será 6.
Um problema mais complexo de combinação
Digamos que você tenha um conjunto de 10 elementos, e gostaria de saber quantos grupos de 1 até 10 elementos você poderia criar.
Por exemplo, se você fizer subgrupos de 1 elemento, você terá 10 como resultado, se fizer subgrupos de 2 terá 45 grupos diferentes, e assim por diante, até 10.
Para a solução deste problema é necessário resolver 10 equações diferentes:

O que neste caso iria dar muito trabalho…
Uma solução seria usar o Excel montando uma tabela auxiliar e mudando apenas o parâmetro do subconjunto.

A fórmula utilizada na resolução foi: =COMBIN(10;C100), considerando C100 a célula aonde está o 1, e ao arrastar para as demais linhas foi alterando para C101, C102, as células aonde estão as variáveis dos subconjuntos da combinação matemática:

Então temos que o total de combinações para esta questão seria de 1.023 subgrupos.
Combin Excel Matricial
Uma solução mais elegante para esta questão, envolvendo apenas uma célula, seria o uso de uma função matricial. Para tanto foi usada a seguinte fórmula:
=SOMA(COMBIN(10;LIN($A$1:$A$10)))
Digite a fórmula e pressione CTRL+SHIFT+ENTER, o resultado será o mesmo 1.023.
Veja como ela funciona:
- SOMA: Realiza a soma da matriz de números criada pelo uso das funções internas
- COMBIN: Veja que o valor de n está fixado em 10, pois queremos que seja mudado apenas os números de 1 á 10 em n. Por isso o valor está fixo para o primeiro.
- LIN: Para o segundo parâmetro foi usado LIN($A$1:$A$10), pois a função LIN retorna o número da linha de uma célula ou conjunto de células, e está aí o truque.
- Pois se der um simples Enter você terá o resultado de 10, pois o cálculo será o mesmo de COMBIN(10,1), porque a função LIN irá retornar apenas a posição da primeira célula.
- Mas quando pressionamos CTRL+SHIFT+ENTER, a fórmula se torna matricial, e a função LIN retorna não 1, mas o conjunto {1,2,3,4,5,6,7,8,9,10} e o aplica para a fórmula interna COMBIN, gerando COMBIN(10,1)+COMBIN(10,2)+COMBIN(10,3)+COMBIN(10,4)+COMBIN(10,5)… até 10.
- E no final, a função SOMA realiza a SOMA do conjunto de valores gerados pelos resultados de todas as funções COMBIN.
Se quiser ver com detalhes os exemplos e fórmulas, faça o download clicando no botão abaixo.
Baixe a planilhaAbraço
Marcos Rieper
Curso Excel Completo – Do Básico ao VBA
Quer aprender Excel do Básico, passando pela Avançado e chegando no VBA? Clique na imagem abaixo:




